Ответы
Ответ дал:
0
Ответ:
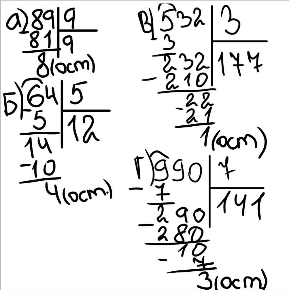
а)9,8(ост.)
б)12,4(ост.)
в) 177. ,1(ост.)
г) 141,7(ост.)
Пошаговое объяснение:
Решение на фото. Удачи! Можно "лучший ответ" ?
Приложения:

Вас заинтересует
1 год назад
1 год назад
1 год назад
1 год назад
3 года назад
8 лет назад