ДОПОМОЖІТЬ БУДЬ ЛАСКА
У файлі
Приложения:

zmeura1204:
Де умова?
Ответы
Ответ дал:
1
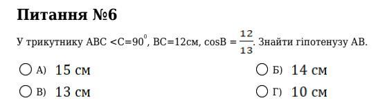
Ответ:
АВ=13см
Объяснение:
cosB=BC/AB;
12/13=12/AB
AB=12*13/12=13см
Ответ дал:
1
AB = BC/cosB = 12 * 13/12 = 13
Ответ: 13 см
Вас заинтересует
1 год назад
1 год назад
1 год назад
1 год назад
3 года назад
8 лет назад