• Предмет: Математика
  • Автор: kristinaugnenko88
  • Вопрос задан 2 года назад

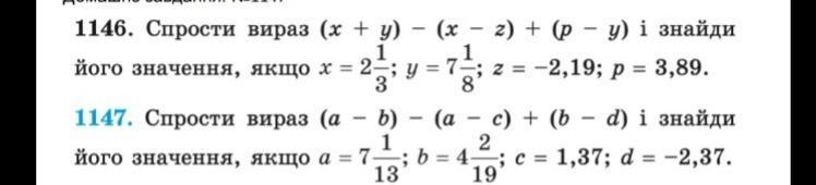
Допоможіть вирішити 1147

Приложения:

Ответы

Ответ дал: leonidLu
0

Ответ: 3.74

Пошаговое объяснение: (a - b) - (a - c) + (b - d)

= a - b - a + c + b - d     раскрываем скобки

= c - d                            сокращаем

вычисляем:

c - d = 1.37 + 2.37 = 3.74

Вас заинтересует