• Предмет: Алгебра
  • Автор: zittaunounnauya6664
  • Вопрос задан 2 года назад

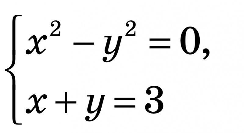
скільки розвязків у системи

Приложения:

Ответы

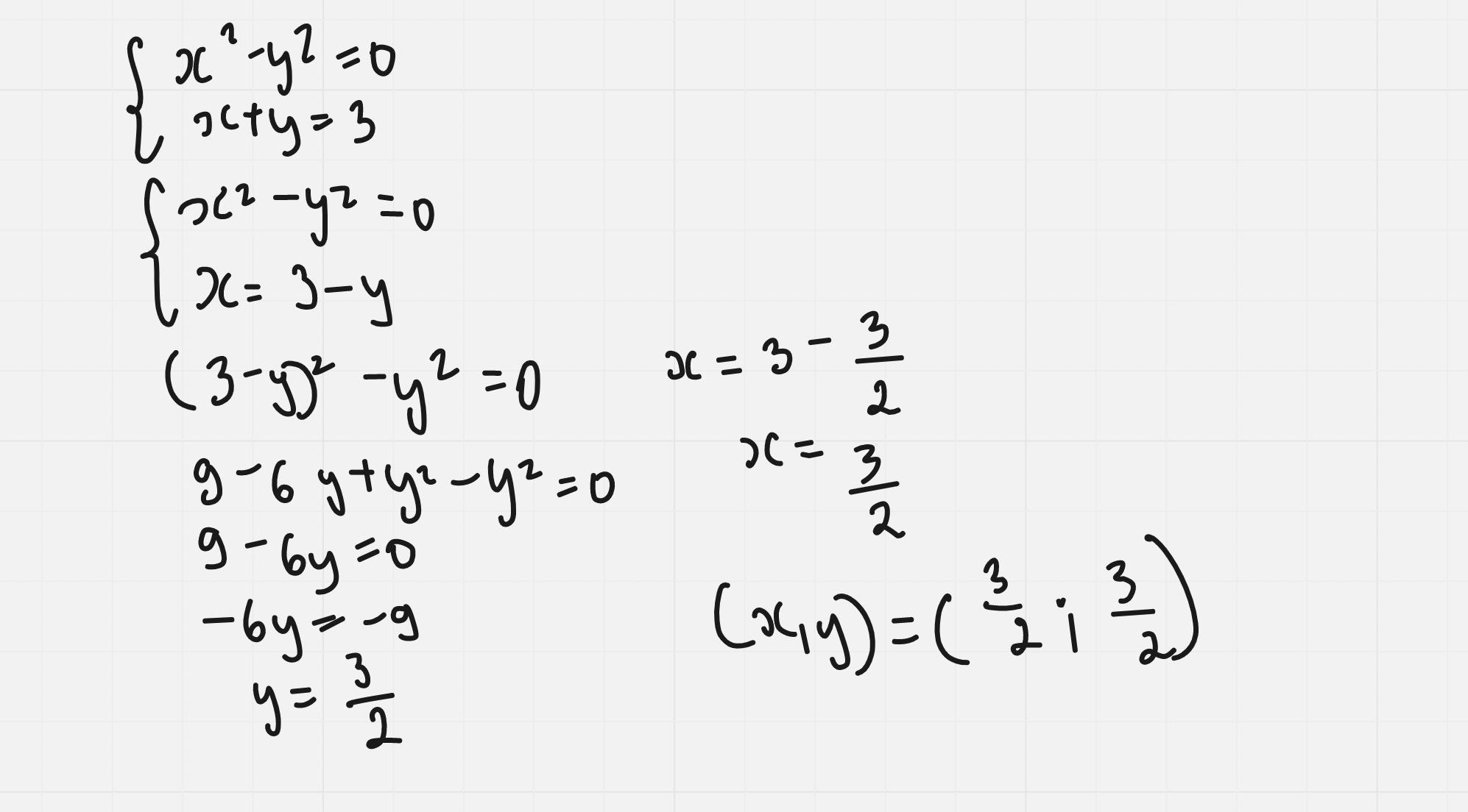
Ответ дал: broomspun1
0

Ответ:

сделай мой ответ лучшим пж

Объяснение:

Приложения:
Вас заинтересует