• Предмет: Алгебра
  • Автор: d56861675
  • Вопрос задан 2 года назад

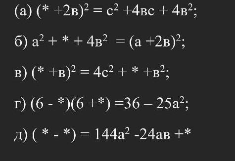
(a) (* +2B)² = c² +4BC + 4B²; 6) a² +* + 4B² = (a +2³)²; B) (* +B)² = 4c² +* +B²; r) (6 - *)(6 +*) =36 – 25a²; À) ( * - *) = 144a² -24a³ +*​

Приложения:

Ответы

Ответ дал: Dertasewr
0

Ответ:

1)вместо звёздочки стоит c

2)4ab

3)выражение (2c+b)²=4c²+4bc+b²

4)(6-5a)(6+5a)=36-25a²

5)(12a-b)=144a²-24ab+b²

пж отметь как лучший

Вас заинтересует