• Предмет: Алгебра
  • Автор: h4747645
  • Вопрос задан 2 года назад

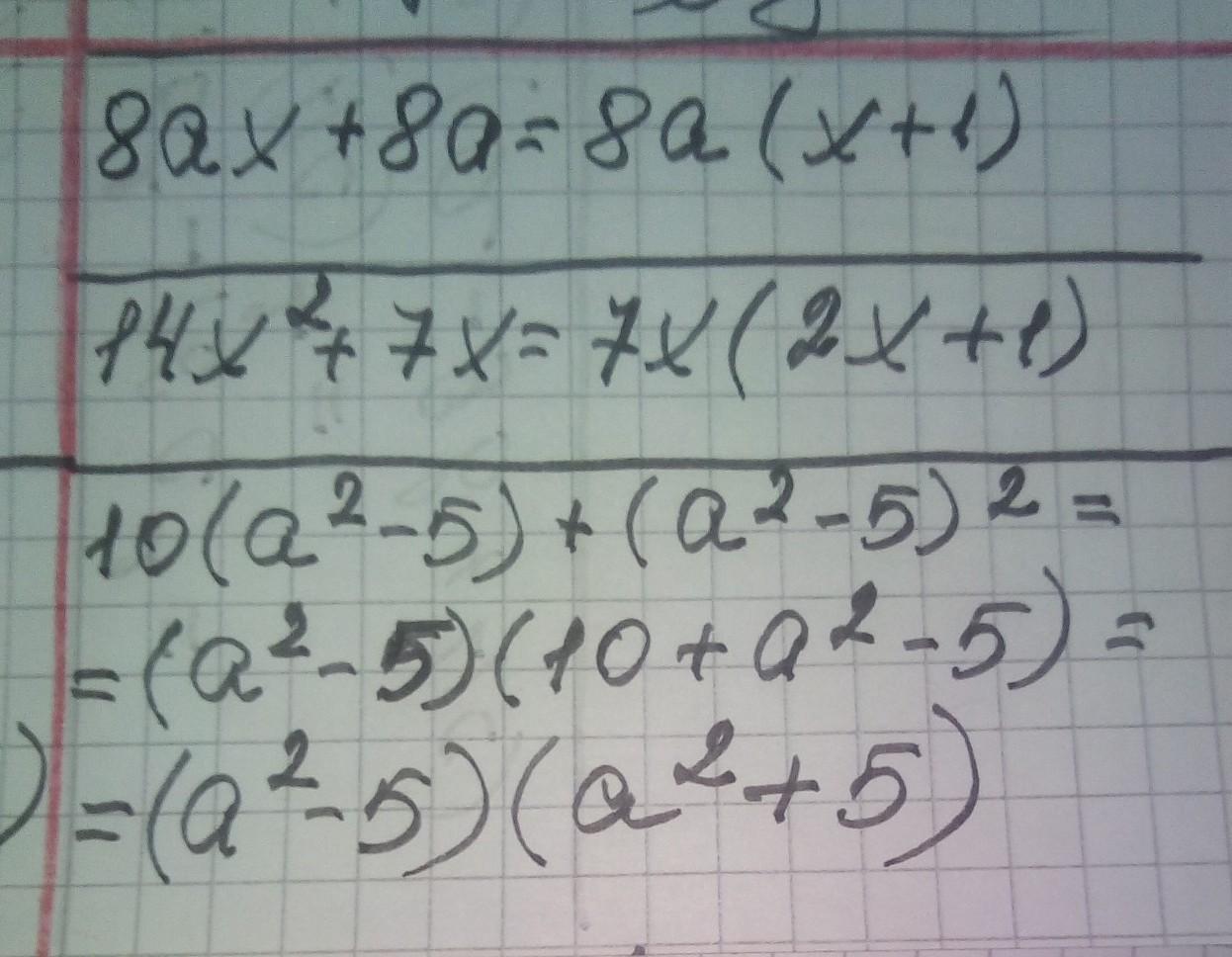
Розкласти на множники
1) 8ах+8а
2)14х²+7х
3)10(а²-5)+(а²-5)²

Ответы

Ответ дал: manyny06
0

Ответ:

решение смотри на фотографии

Приложения:
Вас заинтересует