• Предмет: Алгебра
  • Автор: volodjachornjak87
  • Вопрос задан 2 года назад

Даю 30 балів срочно розв’язати любим способом

Приложения:

Ответы

Ответ дал: ildar502020
1

Ответ:

Объяснение:

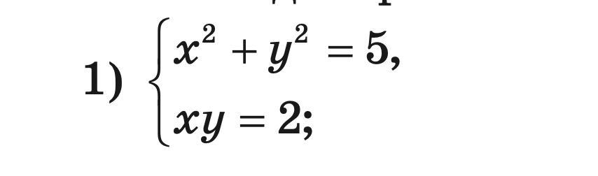
x²+y²=5;

xy=2.

--------

x²+2xy+y² =>  x²+y²+2(xy) =5+2*2 =>  (x+y)² =9.

x+y=±3.

------------

1)  x+y=3 =>  y=3-x;

x(3-x)=2;

3x-x²-2=0;           [*(-1)]

x²-3x+2=0;

By Vieta 's theorem

x1+x2=3;

x1*x2=2;

x1=1;

x2=2.

************

y1=3-x1=3-1 = 2;

y2=3-x2=3-2 = 1.

--------------------

2)  x+y=-3;  =>  y=-x-3.

x(-x-3)=2;

-x²-3x-2=0;                   [*(-1)]

x²+3x+2 =0;

By Vieta 's theorem

x1+x2=-3;

x1*x2=2;

x1=-1;

x2=-2.

--------------

y1=-x1-3=>

y1=-(-1-3) = 4 .

y2=-x2-3=>

y2=-(-2-3) = 5.

Вас заинтересует