• Предмет: Математика
  • Автор: stassofij13
  • Вопрос задан 2 года назад

Терміново будь ласка ​

Приложения:

Ответы

Ответ дал: parus77
0

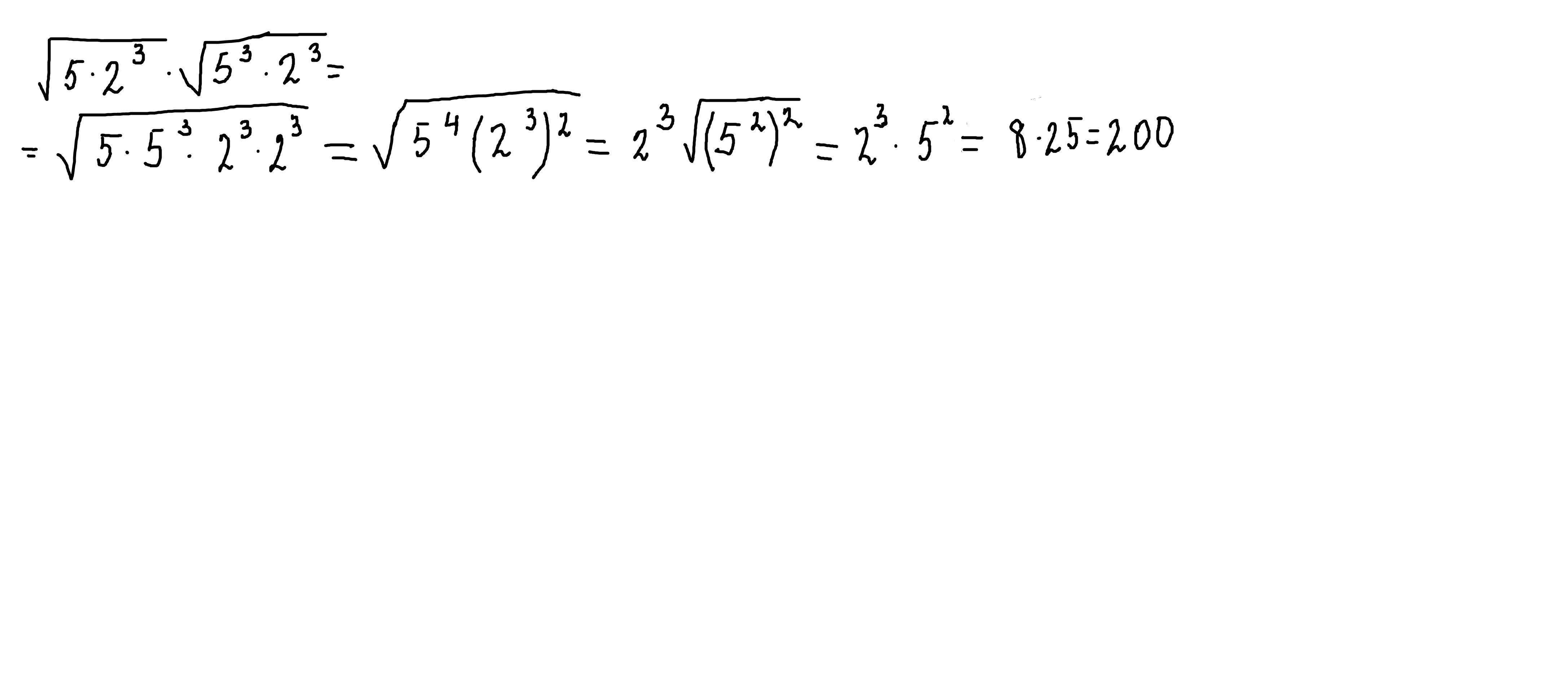
Ответ:

200

Пошаговое объяснение:

решение внизу

Приложения:
Вас заинтересует