ПОЖАЛУЙСТА, РЕШИТЕ ПИСМЕННО, НА ЛИСТОЧКЕ И ОТПРАВЬТЕ ПЖЖЖЖЖЖ ДАЮ 30 БАЛЛОВ
Приложения:

Vykelat:
могу скинуть просто расписаный ответ просто фото не могу прикрепить
Ответы
Ответ дал:
0
что-то будет не понятно пишите
Приложения:

Ответ дал:
1
Ответ:
Пошаговое объяснение:
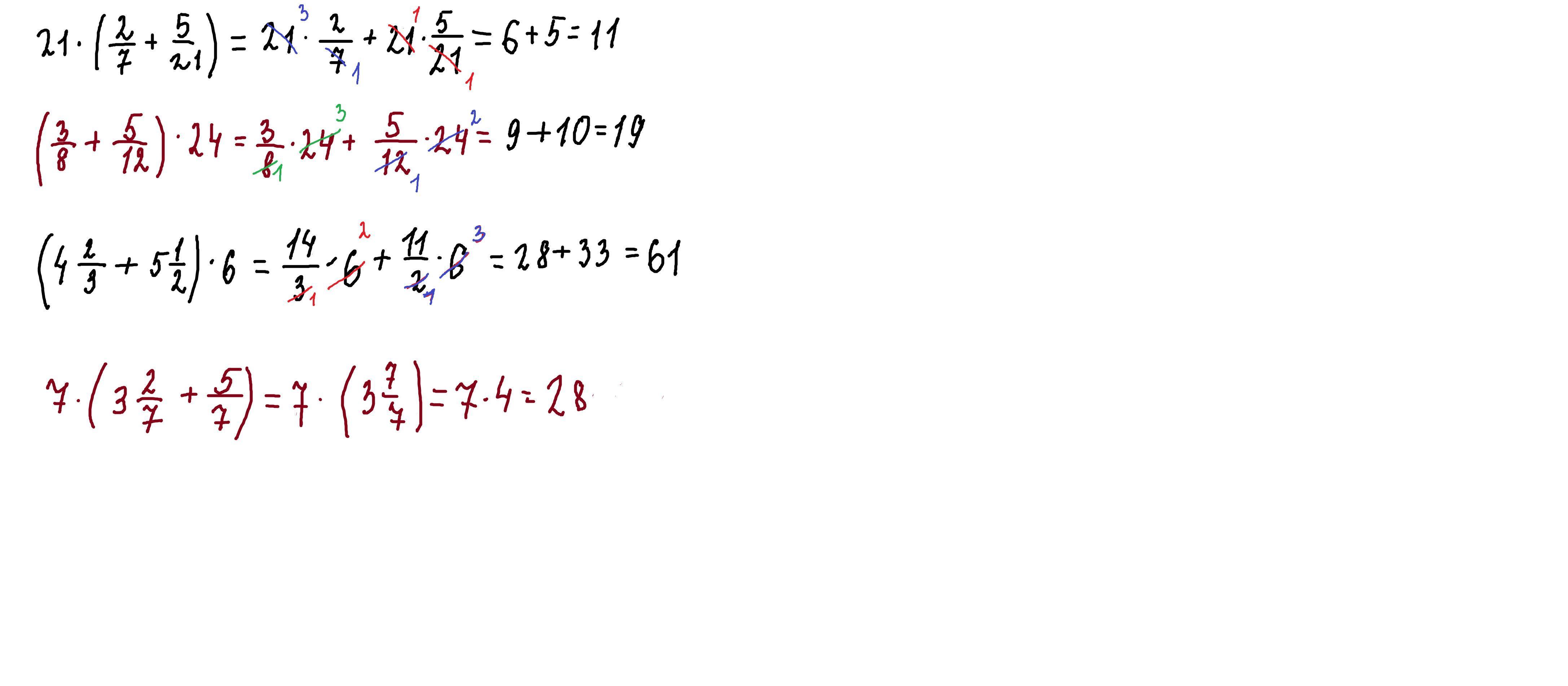
в данных примерах удобнее будет применить распределительный закон умножения,т.е каждое число в скобках умножить на число,которое за скобкой,(это чтобы не приводить дроби к общему знаменателю).в последнем примере сначала сложим,потом умножим. извините,на листочке не могу,комп не фоткает.
Приложения:

Вас заинтересует
1 год назад
1 год назад
1 год назад
3 года назад
3 года назад
8 лет назад