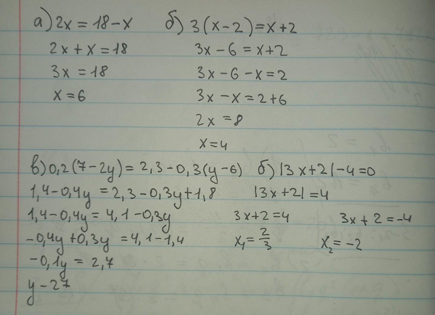
Розв’яжіть рівняння:
a) 2x = 18 - x;
б) 3(x - 2) = x + 2;
в) 0,2(7 – 2y) = 2,3 – 0,3(у – 6);
б) | 3x + 2 ] - 4 = 0.
Ответы
Ответ дал:
5
Ответ:
на фото пошаговое решение
Приложения:
Ответ дал:
1
а) 2х=18-х
2х+х=18
3х=18
х=18:3
х=6
б) 3(х-2)=х+2
3х-6=х+2
3х-х=2+6
2х=8
х=8:2
х=4
в) 0,2(7-2у)=2,3-0,3(у-6)
1,4-0,4у=2,3-0,3у+1,8
-0,4у+0,3у=2,3+1,8-0,4
-0,1у=3,7
у=3,7:(-0,1)
у=-37
б) (3х+2)-3=0
3х+2-3=0
3х=0-2+3
3х=1
х=1:3
х=1/3
2х+х=18
3х=18
х=18:3
х=6
б) 3(х-2)=х+2
3х-6=х+2
3х-х=2+6
2х=8
х=8:2
х=4
в) 0,2(7-2у)=2,3-0,3(у-6)
1,4-0,4у=2,3-0,3у+1,8
-0,4у+0,3у=2,3+1,8-0,4
-0,1у=3,7
у=3,7:(-0,1)
у=-37
б) (3х+2)-3=0
3х+2-3=0
3х=0-2+3
3х=1
х=1:3
х=1/3
Вас заинтересует
2 года назад
2 года назад
2 года назад
2 года назад
3 года назад
3 года назад
9 лет назад