• Предмет: Математика
  • Автор: sofiagubanova27
  • Вопрос задан 2 года назад

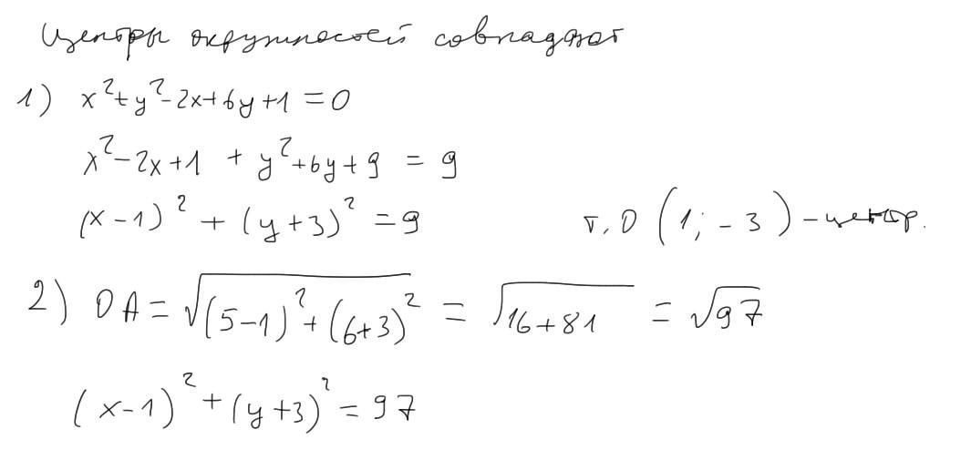
Складіть рівняння кола, яке проходить через точку A(5;6) і концентричне з колом х²+у²-2х+6у+1=0​

Ответы

Ответ дал: Warlock1
0

Ответ:

типа того

Пошаговое объяснение:

Приложения:
Вас заинтересует