Ответы
Ответ дал:
0
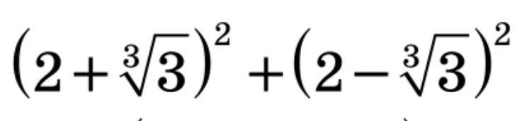
Ответ:
8+2∛9
Объяснение:
=(2+∛3+2-∛3)²-2*(2+∛3)(2-∛3)=4²-2(4-∛9)=8+2∛9
nnnmaryaand26:
если это правильно,то огромное спасибо!
Ответ дал:
1
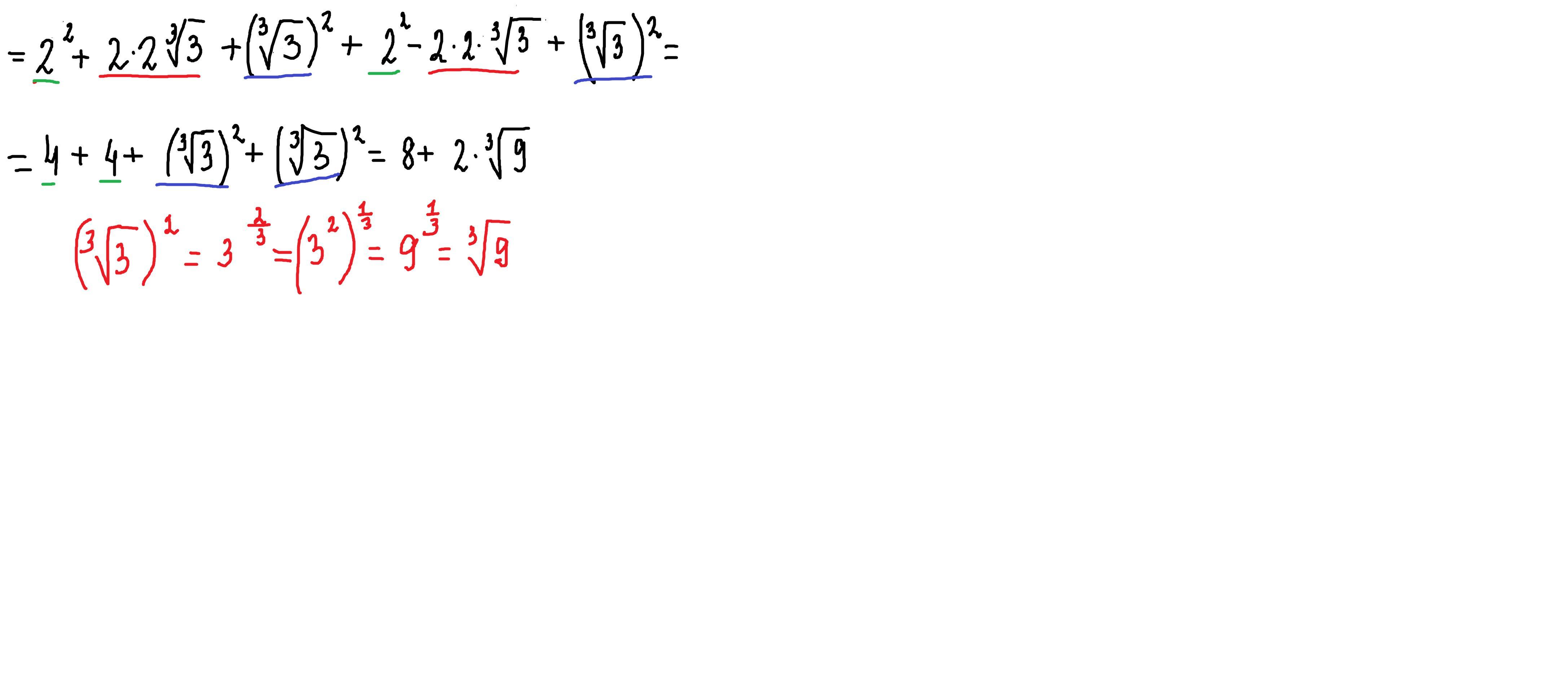
Ответ:
Объяснение:
решение внизу
Приложения:

Вас заинтересует
1 год назад
1 год назад
1 год назад
1 год назад
3 года назад
3 года назад