• Предмет: Химия
  • Автор: ggh153908
  • Вопрос задан 2 года назад

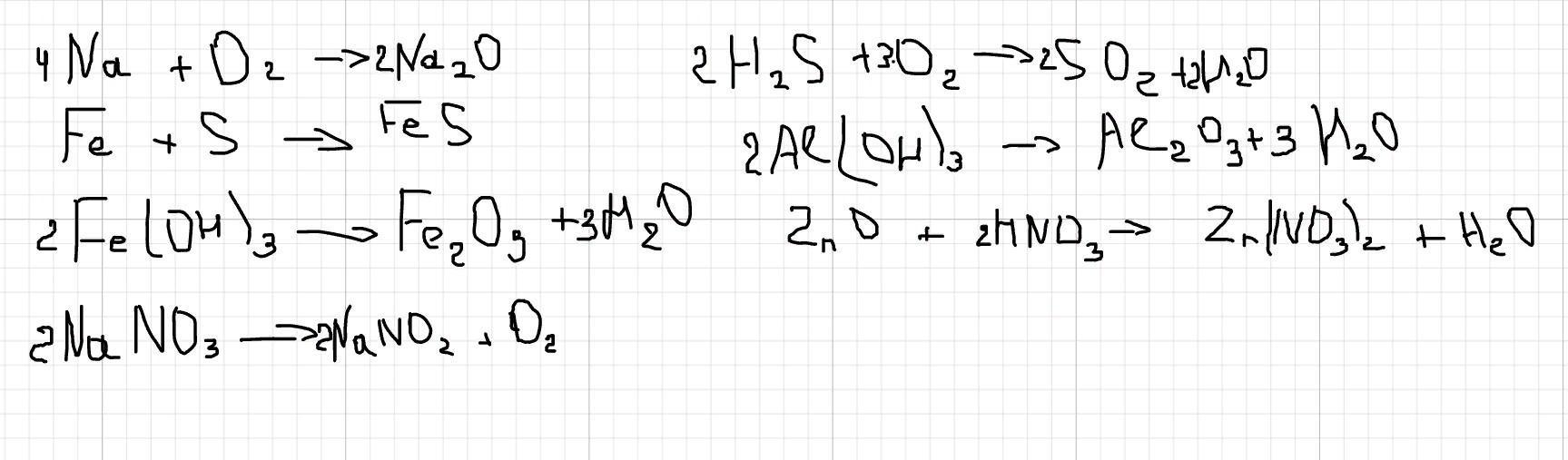
УРІВНЮВАННЯ ХІМІЧНИЙ РІВНЯНЬ
СРОЧНОООООООООО ДАЮ 20 БАЛІВ​

Приложения:

Ответы

Ответ дал: dawopn
1

Объяснение:

даювювювюяюыюыжыдасдддц

Приложения:
Вас заинтересует