• Предмет: Алгебра
  • Автор: dianadididi2007
  • Вопрос задан 2 года назад

допоможіть!! потрібно з повним розв‘язком!!

Приложения:

Ответы

Ответ дал: darinanesmeanova72
0

Ответ:

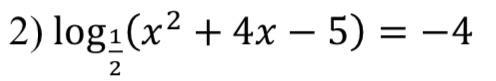
log1/2 (2 * x + 4 * x - 5) = -4;

(2 * x + 4 * x - 5) = (1/2)^(-4);

(2 * x + 4 * x - 5) = 1/0.5^4;

2 * x + 4 * x - 5 = 1/(1/16);

2 * x+ 4 * x - 5 = 16;

• значення чисел з змінною ⬆️

2 * x + 4 * x = 16 + 5;

2 * x + 4* x = 21;

6 * x = 21;

x = 21/6;

x = 7/3.

• значення чисел без змінної ⬆️

Объяснение:

Думаю, що правильно ️✨

Ответ дал: shulyaevalex97
1

Ответ:

x₁=3; x₂=-7

Объяснение:

㏒₀,₅(x²+4x-5)=-4

㏒₀,₅(x²+4x-5)=㏒₀,₅16

x²+4x-5=16

x²+4x-21=0

D=16-4*1*(-21)

D=100

x₁=(-4+10):2=3

x₂=(-4-10):2=-7

Проверка

㏒₀,₅(3²+4*3-5)=㏒₀,₅(9+12-5)=㏒₀,₅16=-4

㏒₀,₅(-7²+4*(-7)-5)=㏒₀,₅(49-28-5)=㏒₀,₅16=-4

Вас заинтересует