• Предмет: Математика
  • Автор: ThisisNotLillith
  • Вопрос задан 2 года назад

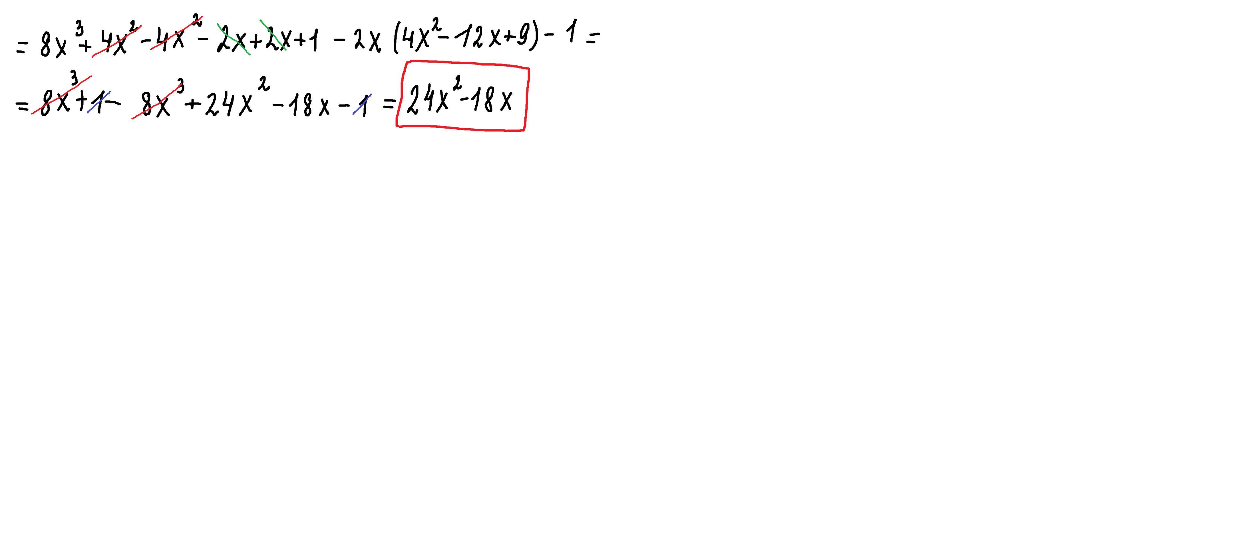
Упростите выражение и найдите степень многочлена (2x+1)(4x²-2x+1)-2x(2x-3)²-1​

Ответы

Ответ дал: parus77
2

Ответ:

24х²-18х    это многочлен 2 степени

Пошаговое объяснение:

Приложения:
Вас заинтересует