Ответы
Ответ дал:
0
Ответ:
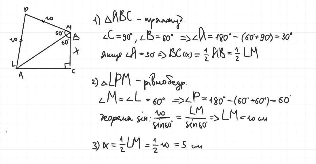
не знаю в якому ви тама класі і за якими правилами тре вирішувать, але все ж:
Приложения:

ГАЗ52:
Как вариант пункт 2) тк всё углы по 60° , то треугольник равносторонний=>АВ=10 см
Вас заинтересует
1 год назад
1 год назад
1 год назад
1 год назад
3 года назад
3 года назад
8 лет назад
8 лет назад