• Предмет: Алгебра
  • Автор: albinaax124
  • Вопрос задан 2 года назад

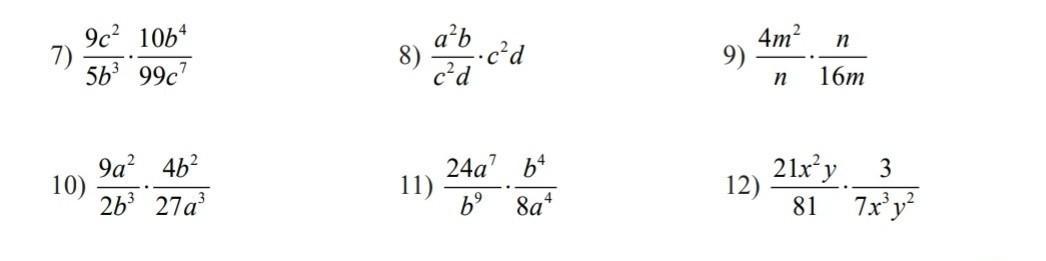
7) 9c² 1064 56³ 99c7 10) 9a² 4b² 26³ 27a³ 8) 11) a²b 24a7 b4 bº 8aª 4m² n 12) n 16m 21x²y3 81 7x³y²​

Приложения:

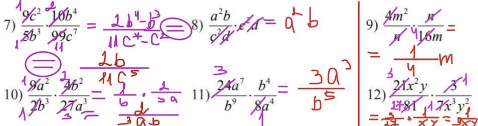
Ответы

Ответ дал: makivchuktm
0

Ответ:

Відповіді на усі приклади

Приложения:
Ответ дал: Kormash
1
Все на фото…….
Степеня отнимаются.
Приложения:
Вас заинтересует