помогите пожалуйста решить

Ответы
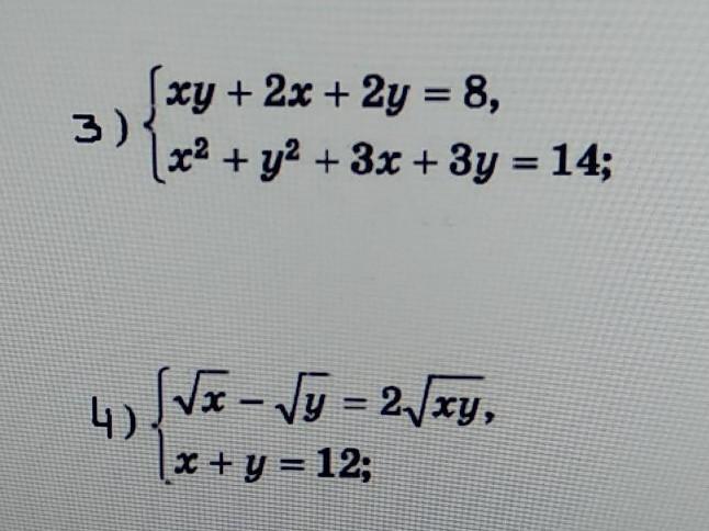
Ответ:
Перепишемо друге рівняння, використовуючи показник степеня 2:
x^2 + y^2 + 3x + 3y = 14
Перетворимо перше рівняння:
xy + 2x + 2y = 8
Додамо 1 до кожного доданка, щоб складніші частини рівнянь могли бути факторизовані:
xy + 2x + 2y + 1 = 9
x(y + 2) + 2(y + 1) = 9
x(y + 2) + 2(y + 1) - 4 = 5
x(y + 2) - 2(y + 1) = 1
Запишемо це у вигляді системи:
x(y + 2) - 2(y + 1) = 1 -----(1)
x^2 + y^2 + 3x + 3y = 14 -----(2)
Можемо виразити x з першого рівняння:
x = (2(y + 1) + 1)/(y + 2)
Підставимо це значення x у друге рівняння:
[(2(y + 1) + 1)/(y + 2)]^2 + y^2 + 3[(2(y + 1) + 1)/(y + 2)] + 3y = 14
(2y^2 + 8y + 5)/(y^2 + 4y + 4) + y^2 + (6y + 3)/(y + 2) = 14
Розв'яжемо це рівняння:
2y^4 + 8y^3 + 18y^2 - 13y - 18 = 0
Можна застосувати різні методи для знаходження коренів цього рівняння, наприклад, метод знаходження раціональних коренів. Один з раціональних коренів -2.
Розкладемо рівняння на (y + 2) та проведемо ділення:
(y + 2)(2y^3 + 12y^2 + 42y + 9) = 0
2y^3 + 12y^2 + 42y + 9 = 0
Застосуємо формулу Рахманова для знаходження коренів цього рівняння. Один з коренів 3/2.
Отже, маємо два корені системи:
y = -2 та y = 3/2.
Підставляємо ці значення у формули для x:
x = -1 та x = 2.
Отже, розв'язком системи є пара чисел (-1, -2) та (2, 3)