• Предмет: Математика
  • Автор: Аноним
  • Вопрос задан 2 года назад

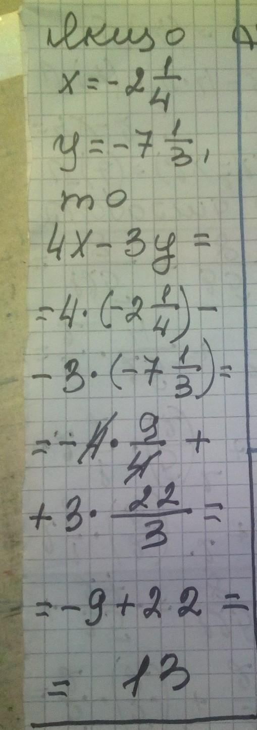
Знайдіть значення виразу: 4x - 3y якщо x = - 2 1/4 y = - 7 1/3

Ответы

Ответ дал: manyny06
1

Ответ:

решение смотри на фотографии

Приложения:

veronikaparasuk2008: посмотрите последний вопрос? пожалуйста
Ответ дал: iramazurk
1

Ответ:

13

Пошаговое объяснение:

х = -2 1/4; у = -7 1/3

4х - 3у = 4 * (-2 1/4) - 3 * (-7 1/3) =

4 * (-9/4) - 3 * (-22/3) = -36/4 + 66/3 =

-9 + 22 = 22 - 9 = 13

Вас заинтересует