• Предмет: Алгебра
  • Автор: juli8533
  • Вопрос задан 2 года назад

Даю 30 б. Зробіть будь ласка з поясненнями , не просто кінцеву відповідь ​

Приложения:

Ответы

Ответ дал: bbbapho
1

Можно решить методом подстановки.

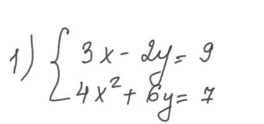
3x - 2y = 9 ,  \\ 4 {x}^{2}  + 6y = 7

Из любого уравнения в системе уравнений нужно выразить одну из переменных и подставить получившееся значение этой переменной в другое уравнение. Так мы получим ещё одно значение переменной, которое подставим в изначальное уравнение и найдём все неизвестные переменные.

Итак, по порядку.

Во-первых, нужно выразить любую переменную (x или y) из любого уравнения в системе уравнений.

Для удобства лучше взять y, и выразить эту переменную лучше будет из первого уравнения — оно простое.

Итак,

3x - 2y = 9

 - 2y = 9 - 3x

2y = 3x - 9

y =  \frac{3x - 9}{2}

Вот мы выразили значение переменной, идём дальше.

Во-вторых, нужно это значение переменной подставить в другое уравнение. Выражали из первого уравнения, подставляем во второе уравнение.

4 {x}^{2}  + 6 \times ( \frac{3x - 9}{2} ) = 7

4 {x}^{2}  +  \frac{6 \times (3x - 9)}{2 }  = 7

4 {x}^{2}  + 3 \times (3x - 9) = 7

4 {x}^{2}  + 9x - 27 = 7

4 {x}^{2}  + 9x - 34 = 0

Квадратное уравнение, решу через дискриминант.

a = 4 , \: b = 9 , \: c =  - 34

D =  {b}^{2}  - 4ac  =  {9}^{2}  - 4 \times 4 \times ( - 34) = 81 + 544 = 625

\sqrt{D} =  \sqrt{625}  = 25;

 x_{1} =  \frac{- b -  \sqrt{D} }{2a}  =  \frac{-9 - 25}{8}  =  \frac{ - 34}{8}  =  - \frac{17}{4},

x_{2} =  \frac{-b  +   \sqrt{D} }{2a}  =  \frac{-9 + 25}{8}  =  \frac{16}{8}  =  2 .

Итак, на втором этапе мы получили два значения переменной x. Эти значения нужно подставить в уравнение, которое у нас получилось на первом этапе, когда выражали переменную y.

Вот в это:

y =  \frac{3x - 9}{2}

В третьих, подставляем полученное/-ые значение/-ия переменной в исходное уравнение, с которого начинали.

Так как значений у переменной xдва, то и у переменной y их тоже будет два.

Итак,

 x_{1} =  - \frac{17}{4},

y_{1} =  \frac{3 \times ( - \frac{17}{4}) - 9}{2}  =  \frac{ -\frac{51}{4} - \frac{36}{4} }{2}  =   \frac{-\frac{87}{4} }{2} =

тут вспоминаем правило деления на дробь: деление на дробь — это умножение на обратную ей дробь, то есть, переворачиваем ту дробь, на которую делим, и ставим знак умножения вместо деления.

 =  - \frac{87}{4}  \div  \frac{2}{1}  =  - \frac{87}{4}  \times  \frac{1}{2}  = - \frac{87}{4 \times 2}  = -  \frac{87}{8} ;

 x_{2} =  2,

y_{2} =  \frac{3 \times 2 - 9 }{2}  =  \frac{ 6 - 9 }{2}  =  \frac{-3}{2}  = - \frac{ 3}{2}

Всё, нашли все значения переменных.

Важно не забывать, что если значений получилось несколько, то они записываются в паре. Например,  x_{1}только с y_{1}, никак нельзя записывать x_{1} с y_{2}, это нарушение.

Ответ записывают по разному, кого как учат в школе. Либо как у меня в решении с цифрами, либо в скобках.

Ответ:

x_{1} =   -\frac{17}{4}  , \:  y_{1} =  -  \frac{87}{8} ;

x_{2} = 2    , \:  y_{2} =  - \frac{3}{2}

либо

Ответ:

( - \frac{17}{4}  ; \:  -  \frac{87}{8}  ) , \: ( 2  ; \:  -\frac{3}{2}  )

Можно, конечно, перевести в десятичные дроби, если вам так удобнее:

 - \frac{87}{8}  =  - 10.875,

 -\frac{17}{4}  = - 4.25,

 -\frac{3}{2}  =  - 1.5

Можно решить методом сложения.

3x - 2y = 9  , \\ 4 {x}^{2}  + 6y = 7

Суть: сложить два уравнения так, чтобы исчезла одна из переменных.

Нужно, чтобы при сложении одна из переменных в сумме была равна нулю. То есть, эта самая переменная в одном уравнении должна быть со знаком плюс, во втором уравнении должна быть со знаком минус. И должна иметь одинаковое число перед собой (коэффициент). И в итоге она будет равна нулю при сложении. Но как правило, нужно привести уравнение к нужному виду. В данном случае так.

Начнём.

Во-первых, приведём к нужному виду уравнения. Возьмём первое уравнение и умножим на 3, чтобы получилось  - 6y в первом уравнении и 6y во втором уравнении.

Умножаем.

3x - 2y = 9 \:  \:  \:  \:  |  \times 3

9x - 6y = 27

Получили новую систему уравнений:

9x - 6y = 27  , \\ 4 {x}^{2}  + 6y = 7

Во-вторых, складываем уравнения.

 9x + 4 {x}^{2}  + ( - 6y) + 6y = 27 + 7

4 {x}^{2}  + 9x  - 34 = 0

Получили квадратное уравнение, которое решали в первом способе. Решение такое же.

x_{1} =   -\frac{17}{4} ,

x_{2} = 2

В третьих, подставляем полученные значения в любое из уравнений в системе. Схема решения дальше такая же, что и в методе подстановки.

 y_{1} =  -  \frac{87}{8} ,

  y_{2} =  - \frac{3}{2}

И ответ получается такой же.


bbbapho: стоп. проверку не прошло
bbbapho: исправлено.
Вас заинтересует