• Предмет: Химия
  • Автор: Аноним
  • Вопрос задан 2 года назад

терміново даю 50 балів

Приложения:

dimkaumnyi: сфоткай полностью
Аноним: тільки 160
Аноним: тільки одну вправу
dimkaumnyi: так там не всё сфотографировано
Аноним: не там В не потрібна
Аноним: там як є
Аноним: ось так попробуй вирішити
Аноним: там після Б йде Г

Ответы

Ответ дал: dimkaumnyi
1

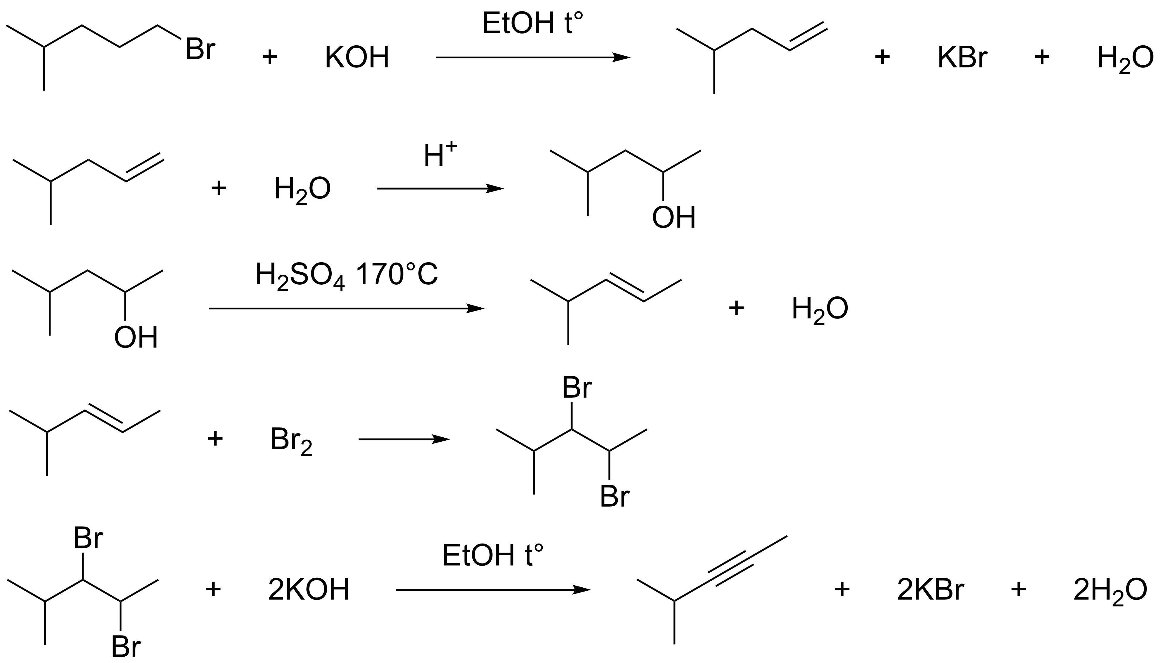
Собственно, вероятные варианты решения

Приложения:

Аноним: дякую
Вас заинтересует