Ответы
Ответ дал:
0
Ответ:
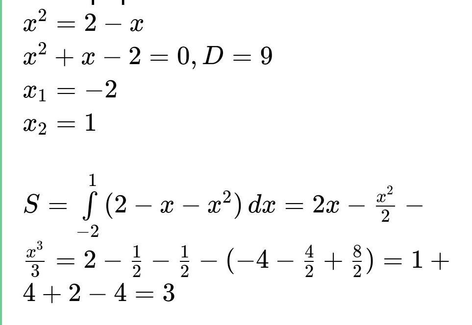
,решение на фотографии......
Приложения:

Ответ дал:
1
Объяснение:
у=2х² у=2х
вот это пример
Приложения:

Вас заинтересует
1 год назад
1 год назад
1 год назад
3 года назад
3 года назад
8 лет назад
8 лет назад