Ответы
Ответ дал:
1
Ответ:
фото
Объяснение:
Приложения:

Ответ дал:
0
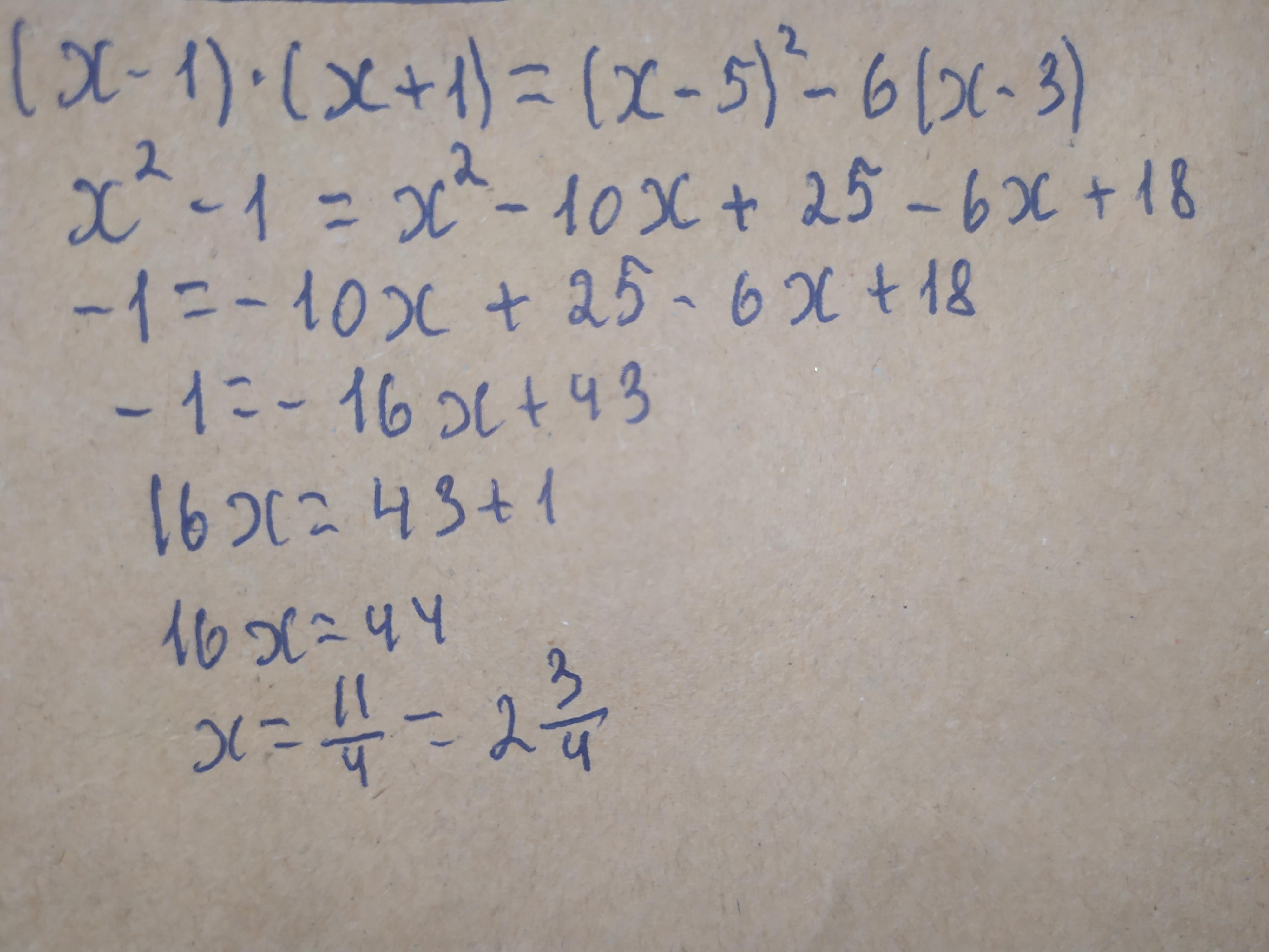
x^2-1= x^2-10x+25-6x+18
-1=-10x+25-6x+18
-1=-16x+43
16x=43+1
16x=44
x= 11/4 (2 3/4)
-1=-10x+25-6x+18
-1=-16x+43
16x=43+1
16x=44
x= 11/4 (2 3/4)
Вас заинтересует
1 год назад
1 год назад
1 год назад
1 год назад
3 года назад
8 лет назад