• Предмет: Физика
  • Автор: vikolnadiia
  • Вопрос задан 2 года назад

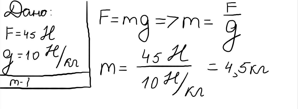
Помогите пж срочно! Я не розумію фізику

Приложения:

Ответы

Ответ дал: Abubachir555
1

Удачи!!!!!!!!!!!!!!!!!!!!

Приложения:
Вас заинтересует