• Предмет: Алгебра
  • Автор: daryna76
  • Вопрос задан 2 года назад

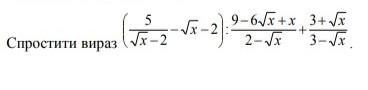
С подробным объяснением пожалуйста ​

Приложения:

Ответы

Ответ дал: vovapravoverov
1

Объяснение:

оплкдпадьпплалаьвьаь

Приложения:
Вас заинтересует