• Предмет: Химия
  • Автор: sofia3124
  • Вопрос задан 2 года назад

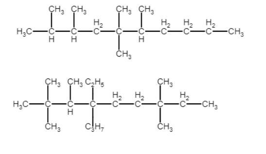
Побудувати структурну формулу алканів за назвою: 1) 2,3,5,6-тетраметилдекан, 2) 4-етил, 2,2,3,7,7-пентаметил,4-пропіл нонан
Назвати речовини

(Терміново «треба здати сьогодні»)

Ответы

Ответ дал: MasterBivin
0

Сверху 1) и снизу 2).

Приложения:
Вас заинтересует