Ответы
Ответ дал:
0
Ответ:
Объяснение:
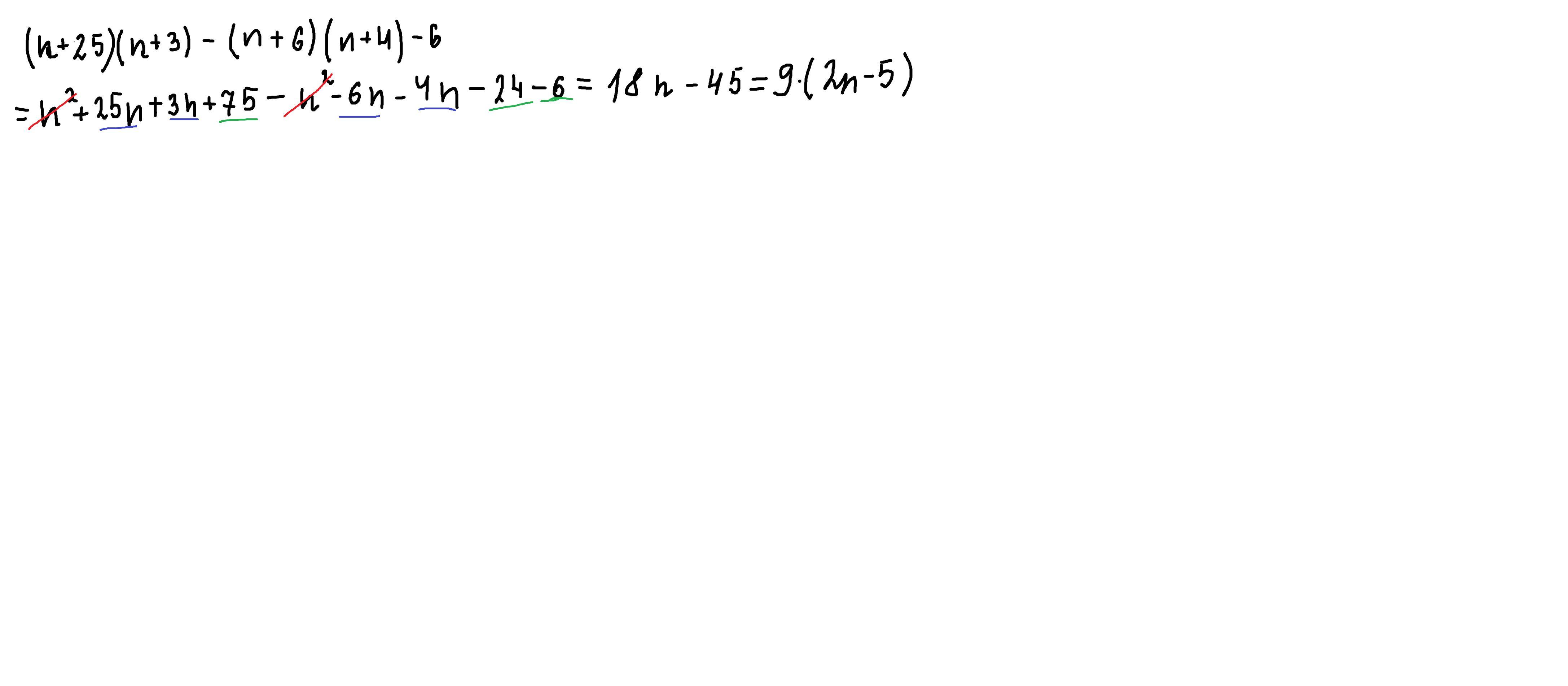
после упрощения выражения получаем 9*(2n -5)
если в произведении один из множителей равен 9,то значит все произведение делится на 9 нацело
Приложения:

Вас заинтересует
1 год назад
1 год назад
1 год назад
1 год назад
3 года назад
3 года назад
8 лет назад