• Предмет: Геометрия
  • Автор: msabi
  • Вопрос задан 2 года назад

ПРОШУ СДАТЬ СЕЙЧАС, ПОМОГИТЕ ПЖ

Приложения:

Ответы

Ответ дал: vladyslavasolo1
0

Ответ:

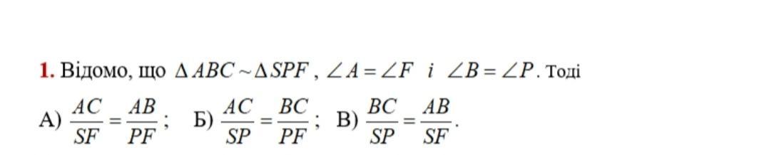
А

Объяснение:

Аааааа бо а

бо так нада

крч вот

Вас заинтересует