Ответы
                                            Ответ дал: 
                                                                                    
                                        
                                            
                                                
                                                
                                                
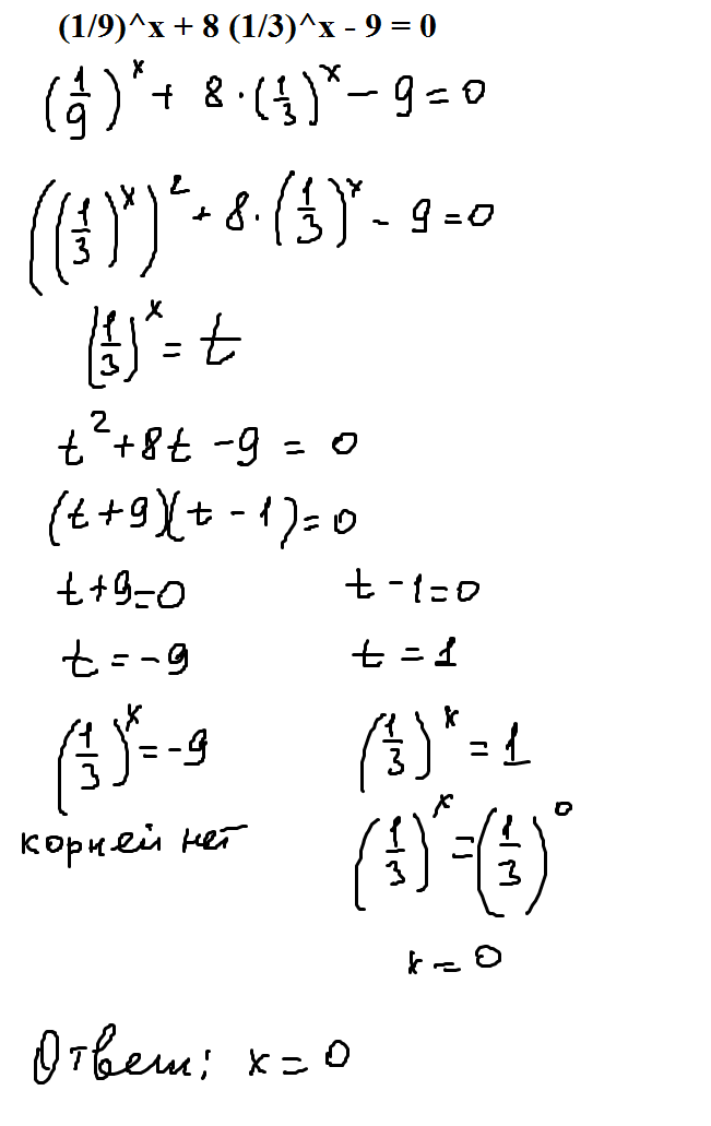
                                                    0
                                                
                                            
                                        
                                    
                                        Если понравилось решение - нажимай "спасибо" и "лучший" (рядом с кнопкой "спасибо") :)
                                    
                                                Приложения:
                     
                            Вас заинтересует
                
                        2 года назад
                    
                
                        2 года назад
                    
                
                        8 лет назад
                    
                
                        8 лет назад
                    
                
                        10 лет назад
                    
                
                        10 лет назад