Ответы
Ответ дал:
0
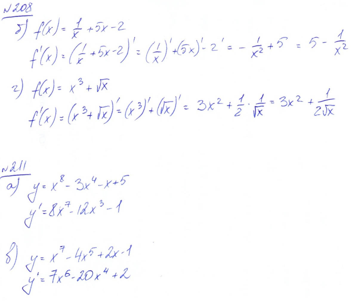
208.
б) f(x) = 1/x + 5x - 2
f ` (x) = - 1/ x^2 +5
г) f(x) = x^3 + кор. из 3
f ` (x) = 3x^2 + 1/ 2 * кор. из x; x>0
211.
a) y=x^8-3x^4-x+5
y`=8x^7- 12x^3 - 1
в) y=x^7-4x^5+2x-1
y`=7x^6+20x^4+2
б) f(x) = 1/x + 5x - 2
f ` (x) = - 1/ x^2 +5
г) f(x) = x^3 + кор. из 3
f ` (x) = 3x^2 + 1/ 2 * кор. из x; x>0
211.
a) y=x^8-3x^4-x+5
y`=8x^7- 12x^3 - 1
в) y=x^7-4x^5+2x-1
y`=7x^6+20x^4+2
Ответ дал:
0
Решение в приложении ниже
Приложения:
Ответ дал:
0
спасибо огромное)))
Вас заинтересует
3 года назад
8 лет назад
8 лет назад
11 лет назад
11 лет назад
11 лет назад