• Предмет: Алгебра
  • Автор: ilonashumchenko09
  • Вопрос задан 2 года назад

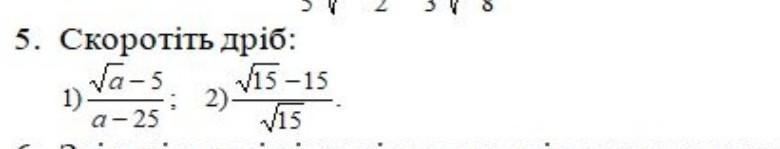
Алгебра.Скоротіть дріб​

Приложения:

Ответы

Ответ дал: Davidkachaha
1

Ответ:

1).. = (а - 5) / (а^2 - 25) = 1 / а - 5

2)... = (15 - 15^2) / 15 = -15^2


ilonashumchenko09: Дякую:)
ilonashumchenko09: я не дуже зрозуміла яка відповідь у першому
Вас заинтересует