• Предмет: Алгебра
  • Автор: svetlanagrigoreva039
  • Вопрос задан 2 года назад

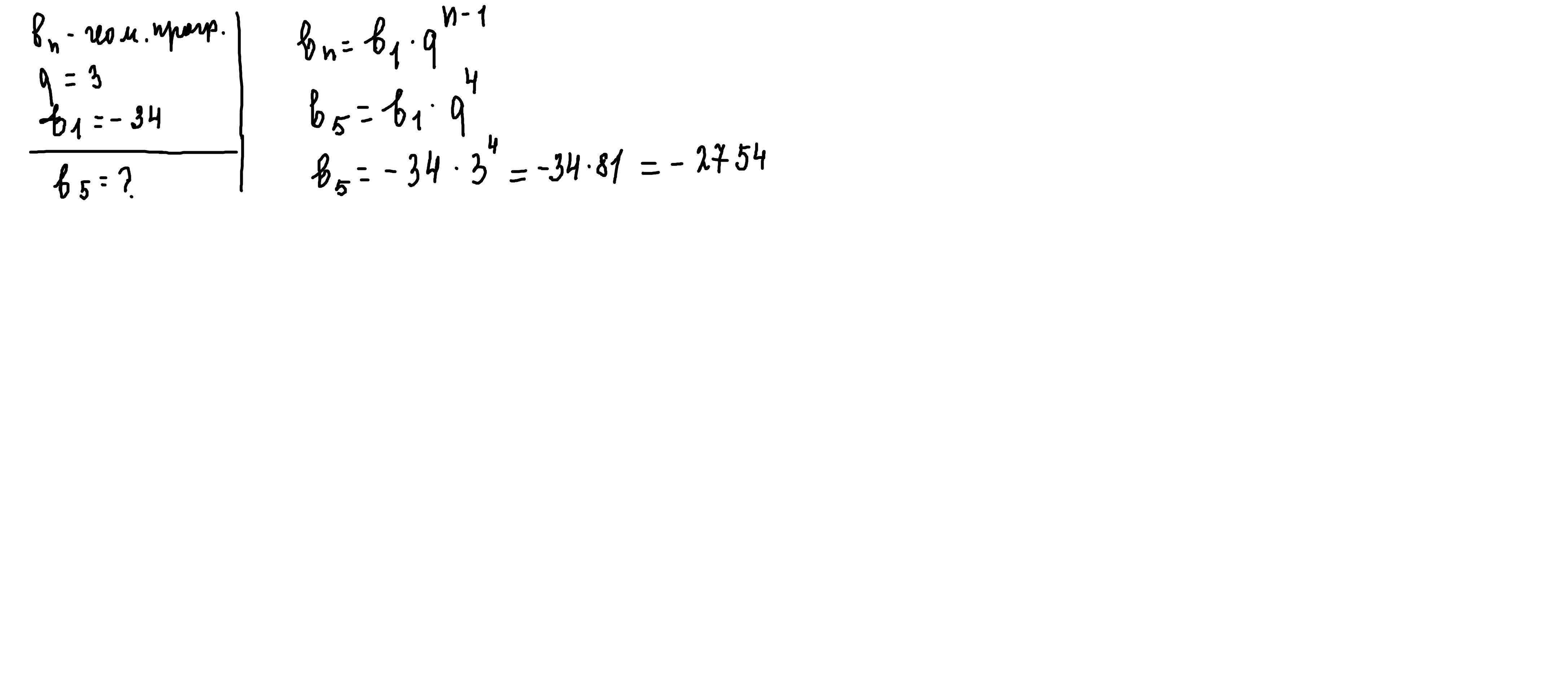
Дана геометрической прогресии(bn),знаменатель которой равен 3,b1=-34.Найдите b5

Ответы

Ответ дал: parus77
0

Ответ:

b5= - 2754

Объяснение:

решение внизу

Приложения:
Вас заинтересует