• Предмет: Алгебра
  • Автор: Аноним
  • Вопрос задан 2 года назад

Помогите пж. Очень нужно​

Приложения:

Ответы

Ответ дал: matvei160708
0

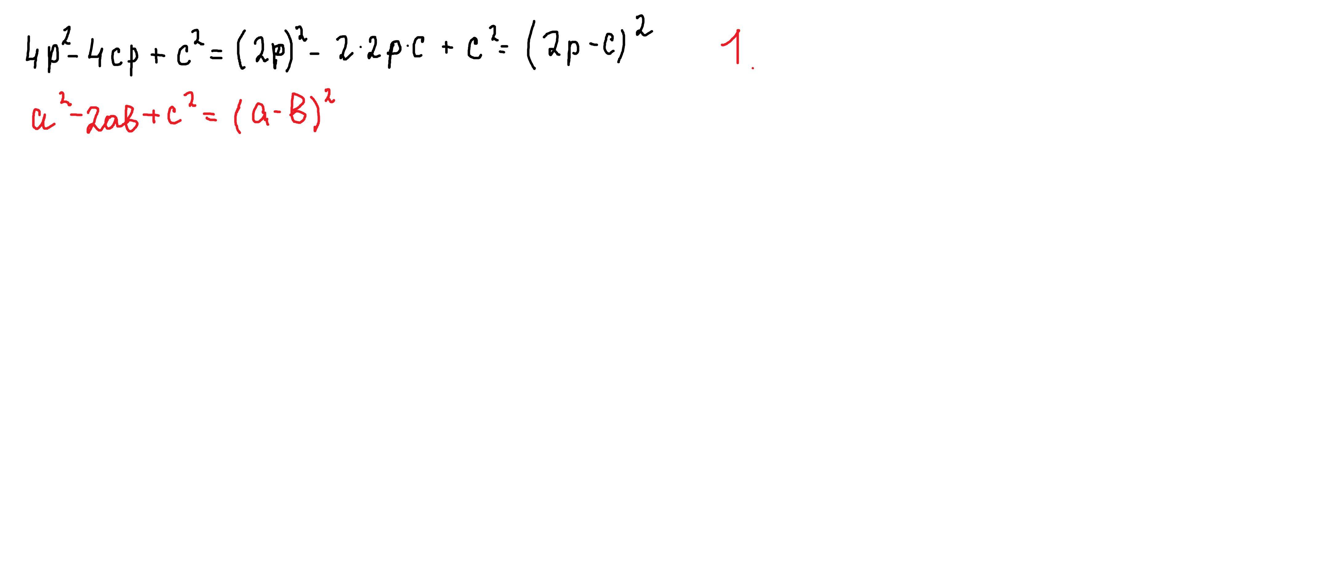
Ответ: правильное 1) т.к это формула квадрата разности

Объяснение:

Ответ дал: parus77
1

Ответ:

1. (2р-с)²

Объяснение:

Приложения:

Аноним: Спасибо
Вас заинтересует