• Предмет: Математика
  • Автор: madinasamyrbekova472
  • Вопрос задан 2 года назад

даю 100 балл!!!!!
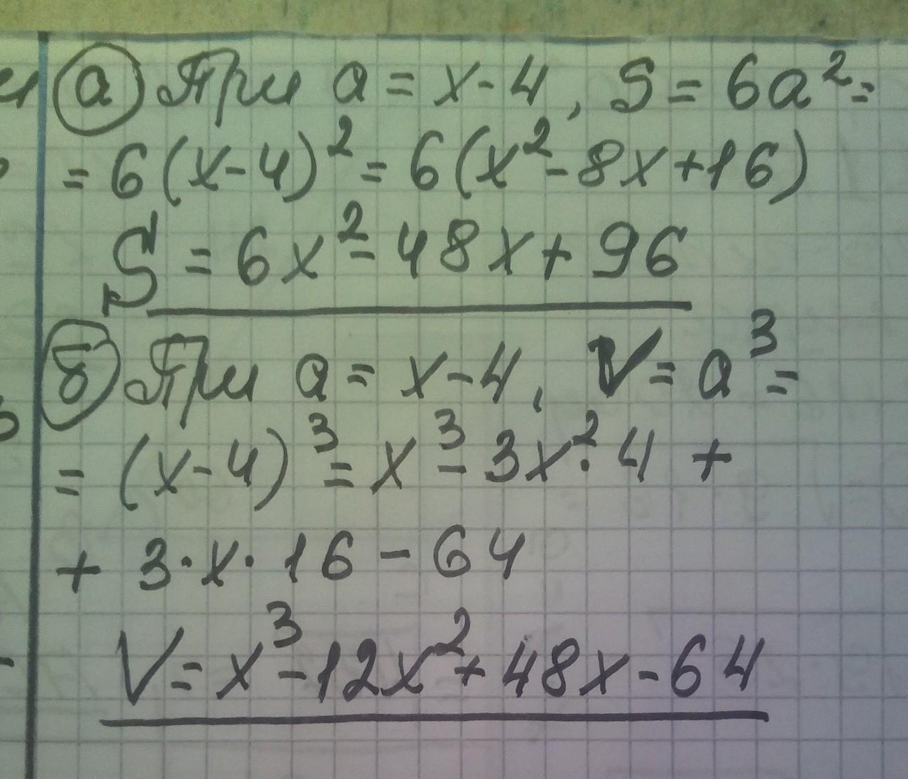
Напишите выражение для нахождения площади поверхности куба, используя формулу S-6a2. Полученный результат представьте в виде многочлена.
a=x-4​

Приложения:

Ответы

Ответ дал: manyny06
1

Ответ:

решение смотри на фотографии

Приложения:

pupil939: ух тыж блят
madinasamyrbekova472: спасибо большое
madinasamyrbekova472: пупи я щас тебе бан кину
pupil939: я новый ак создам деун
pupil939: безмозглый
Вас заинтересует