• Предмет: Математика
  • Автор: bojkotomko
  • Вопрос задан 2 года назад

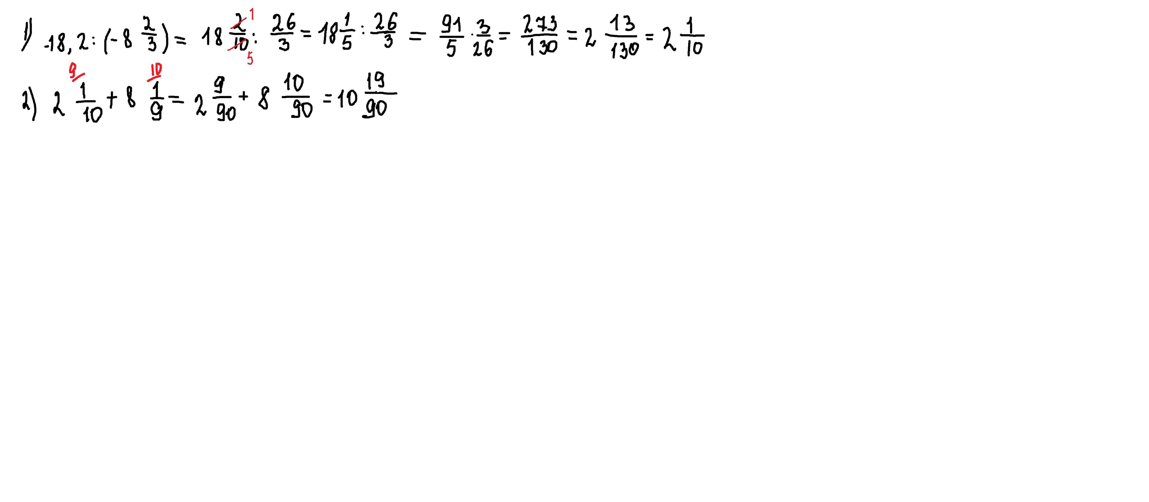
-18,2:(-8 2/3)+(8 1/9)​

Ответы

Ответ дал: Kormash
4
_____________________
Приложения:
Ответ дал: parus77
1

Ответ:

10 19/90

Пошаговое объяснение:

решение внизу

Приложения:
Вас заинтересует