• Предмет: Алгебра
  • Автор: sofia093657
  • Вопрос задан 2 года назад

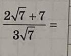
скоротіть дріб:
(Прикріплене фото)

Приложения:

DmytroZaporozheyz: Щас решу

Ответы

Ответ дал: DmytroZaporozheyz
1

Відповідь:

2√7+7/3√7= 2√7+7/3√7*√7/√7= (2√7+7) √7/3√7√7= 14+7√7/3*7= 7(2+√7) /21= 2+√7/3

Вас заинтересует