• Предмет: Математика
  • Автор: Danil2562037
  • Вопрос задан 2 года назад

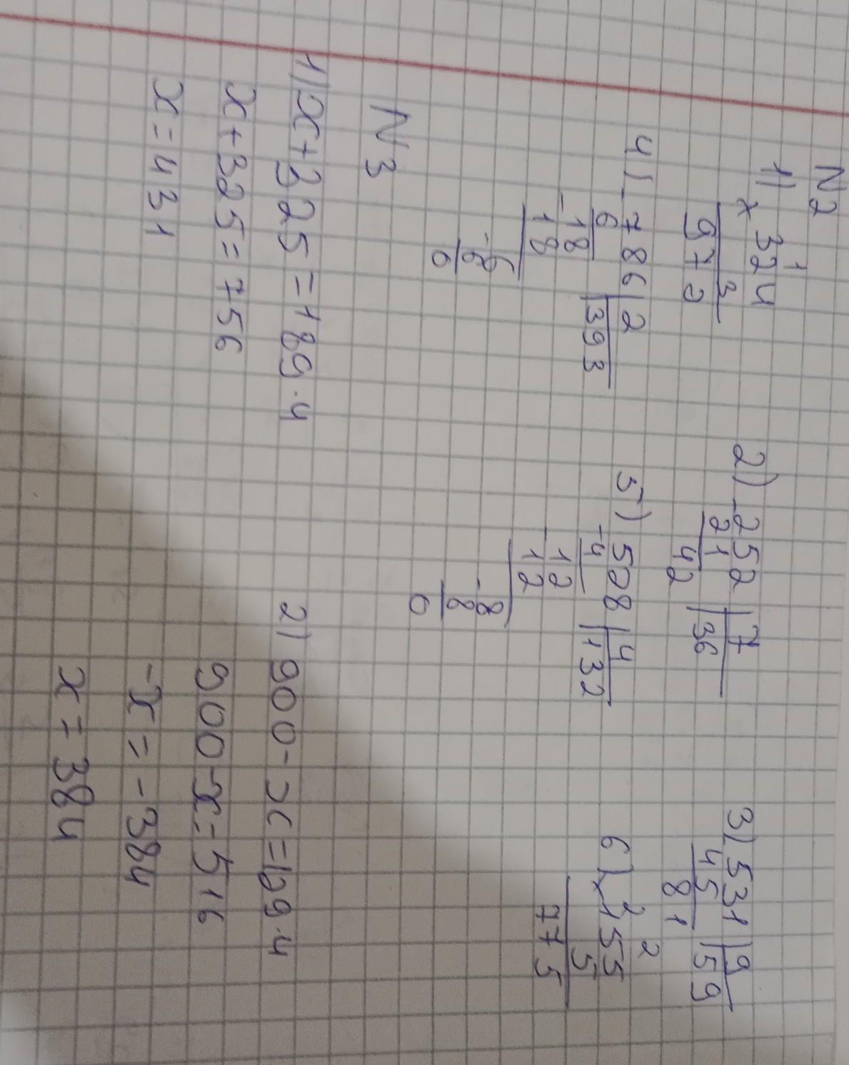
Помогите пожалуйста срочно:3 класс часть 3

Приложения:

Danil2562037: Пожалуйста помогите срочно сестренке надо

Ответы

Ответ дал: zarina06112000
0

Ответ:

жадплабалаьвбвдвбвбвбалалаьа

Приложения:
Вас заинтересует