• Предмет: Математика
  • Автор: vdara6709
  • Вопрос задан 2 года назад

помогите пожалуйста ​

Приложения:

Ответы

Ответ дал: kajyrbekajgul97
1

Ответ:

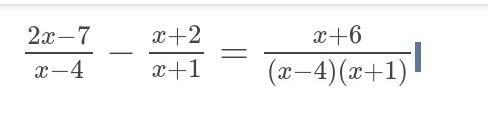
Ответ: х=5

На фото видно

Приложения:

vdara6709: спасибооооо
Вас заинтересует