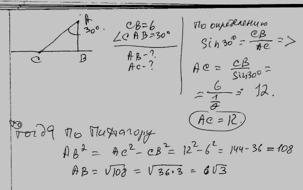
3. 3 точки до площини проведено перпендикуляр і похилу. Довжина проекції похилоï дорівнює 6 см. Знайдіть довжини перпендикуляра та похилоï, якщо кут між перпендикуляром і похилою дорівнює 30º.
Ответы
Ответ дал:
0
Ответ:
фух извиняюсь если какие-то слова написаны не правильно
Приложения:

Вас заинтересует
1 год назад
1 год назад
1 год назад
1 год назад
3 года назад
3 года назад
8 лет назад