• Предмет: Алгебра
  • Автор: ktor9712
  • Вопрос задан 2 года назад

помогите, задание на фото​

Приложения:

Ответы

Ответ дал: volna7
0

Відповідь:

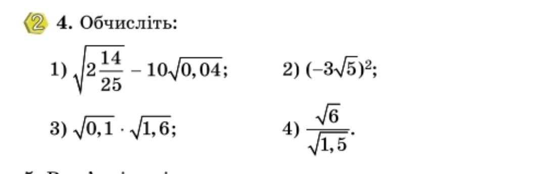
1) -0,4

2) 45

3) 0,4

4) 2

Пояснення:

1) √( 2 14/25 ) - 10 × √ 0,04 = √( 64/25 ) - √(100 × 0,04 ) = √64 / √25 - √4 = 8/5 - 2 = 8/5 - 10/5 = - 2/5 = -0,4

2) ( -3 × √5 )² = ( -3 )² × ( √5 )² = 9 × 5 = 45

3) √0,1 × √1,6 = √( 0,1 × 1,6 ) = √0,16 = 0,4

4) √6 / √1,5 = √( 6 / 1,5 ) = √4 = 2

Вас заинтересует