• Предмет: Математика
  • Автор: Znannyacom
  • Вопрос задан 2 года назад

Помогите дам 50 балов, только номер 1301 и 1303. БЕЗ СПАМА И ТО В БАН. СРОООООООЧНННОО

Приложения:

Ответы

Ответ дал: areter222
1

Ответ:

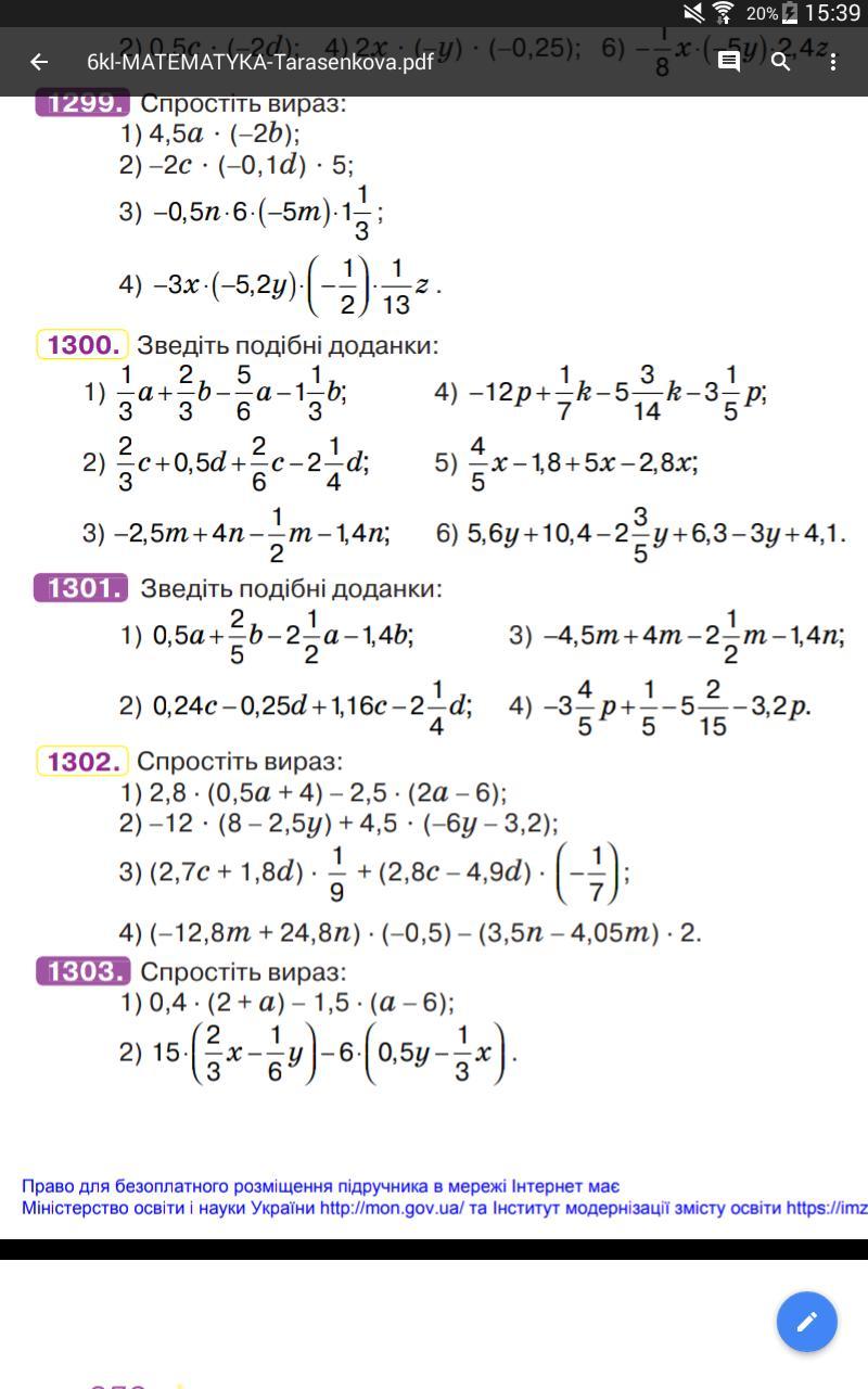
N 1301

1) 0.5a + (2/5b) - 2 + (1/2f) - (1/4b) = 0.5a + (2/5b) - (1/4b) + (1/2f) - 2

= 0.5a + (2/5 - 1/4)b + (1/2f) - 2

= 0.5a + (3/20)b + (1/2f) - 2

2) 0.24c + 1.16c - 0.25d - (2 1/4d) = 1.4c - 2.5d

3) -4.5m + 4m - (2 1/2m) - (1/4n) = -0.5m - (1/4n)

4) -3 4/5p + (1/5) - 5 2/15 - 3.2p = -7 11/15p - 0.8

N 1303

1) 0,4(2 + a) - 1,5(a - 6) = 0,8 + 0,4a - 1,5a + 9 = -1,1a + 9,8

2) 15(2/3x - 1/6y) - 6(0,5y - 1/3x) = 10x - 2,5y - 3y + 2x = 12x - 5,5y

Пошаговое объяснение:

Вас заинтересует