• Предмет: Математика
  • Автор: failldoom678
  • Вопрос задан 2 года назад

Решите пожалуйста задачу с краткой записью!!
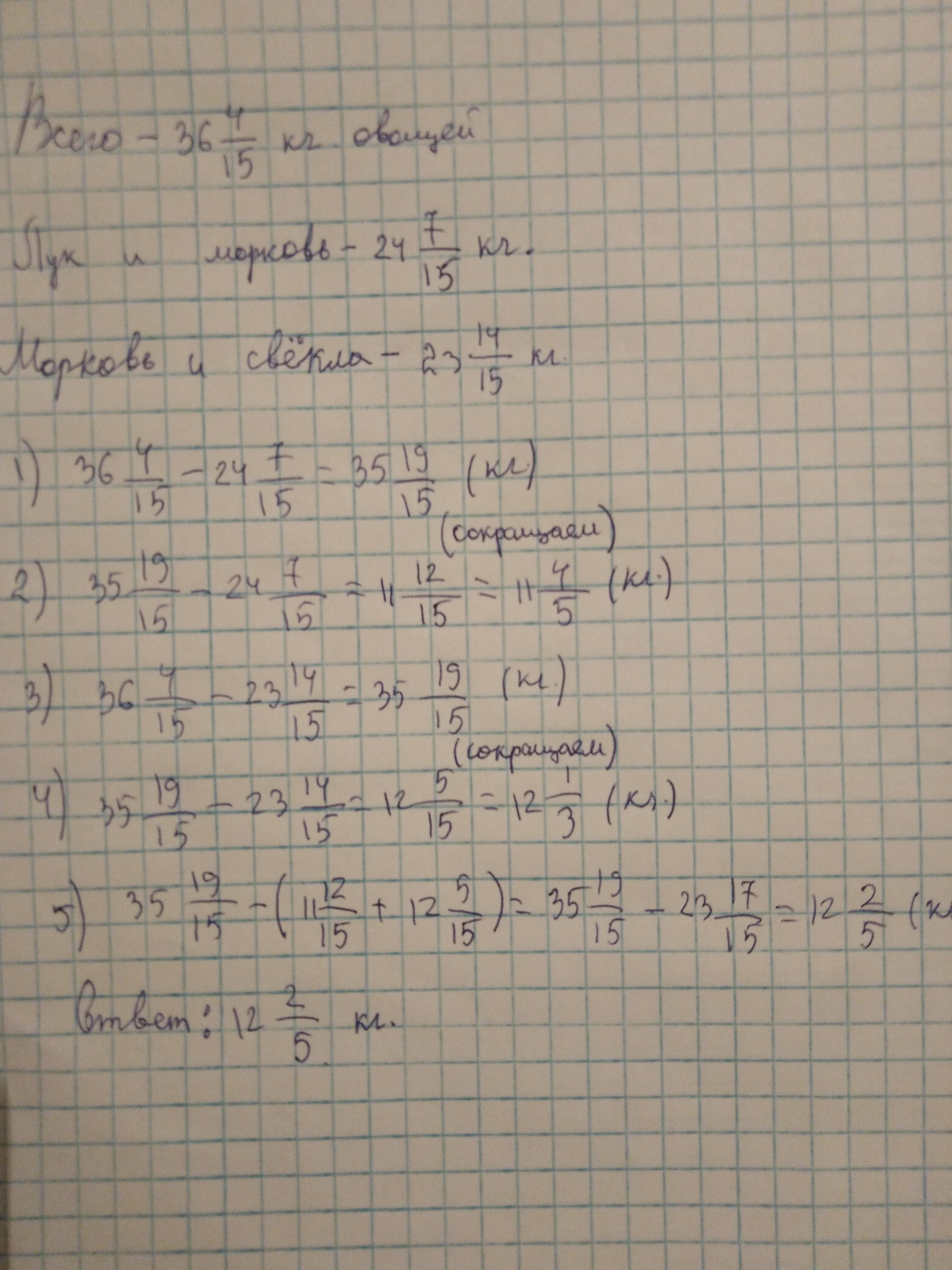
На неделю семья закупила 36 4/15 кг овощей, лука моркови и свеклы.
Лука и моркови вместе закупили 24 7/15 кг, а моркови и свеклы 23 14/15 кг.
Сколько килограммов каждого вида овощей купили на рынке?

Ответы

Ответ дал: latifanizamova1
0

Ответ:

12 2/5

Пошаговое объяснение:

Приложения:
Вас заинтересует