• Предмет: Геометрия
  • Автор: toyirovamubina
  • Вопрос задан 2 года назад

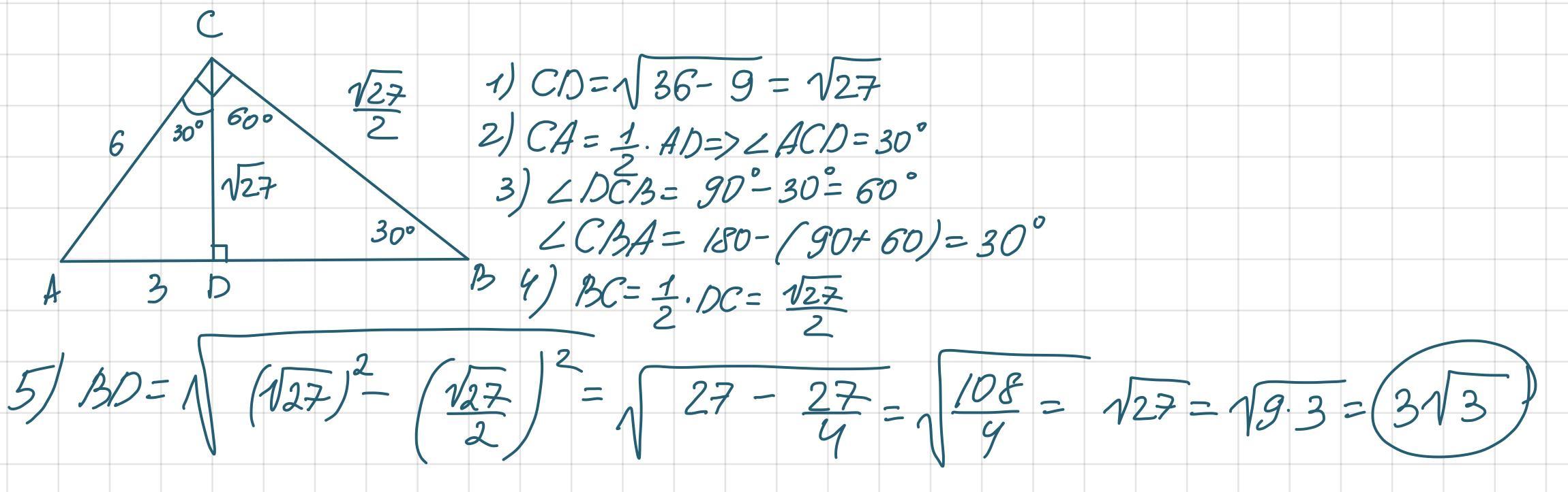
найти BD=? по рисунке​

Приложения:

Ответы

Ответ дал: qweqabc
0

—————————————————————————

Приложения:
Вас заинтересует