• Предмет: Химия
  • Автор: uhsgxhdohdjv
  • Вопрос задан 2 года назад

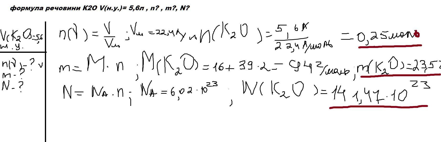
формула речовини К2О V(н.у.)= 5,6л , n? , m?, N?​

Ответы

Ответ дал: masha3dukhina
0

Відповідь:

Пояснення:

Приложения:
Вас заинтересует