• Предмет: Математика
  • Автор: sasaskripnik339
  • Вопрос задан 2 года назад

допоможіть!!!пжпжпжпж

Приложения:

Ответы

Ответ дал: tetamotatetyamotya
0

Ответ:

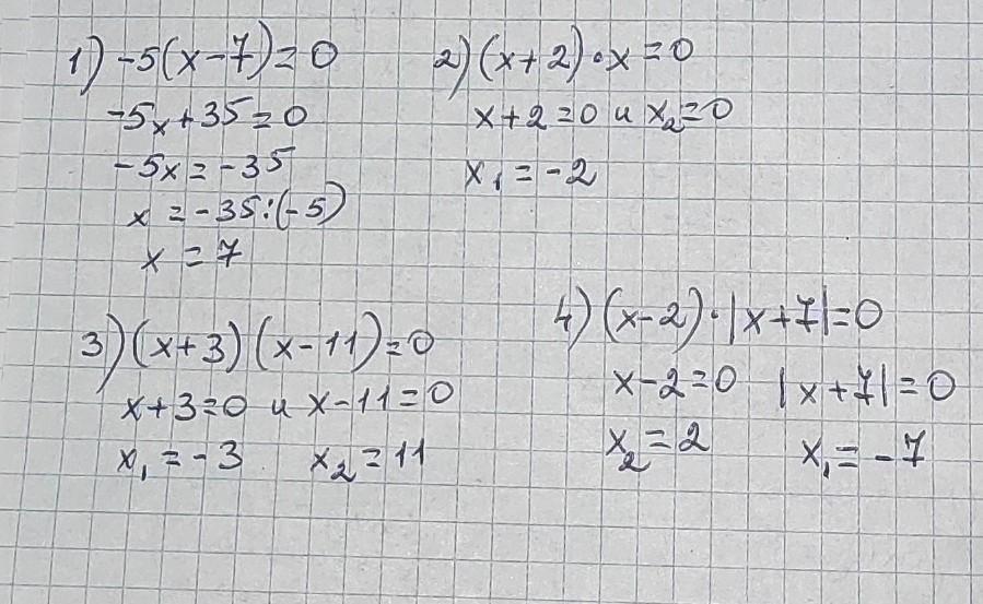
вот решение

Пошаговое объяснение:

решение ниже

Приложения:
Вас заинтересует