• Предмет: Математика
  • Автор: Natellka
  • Вопрос задан 10 лет назад

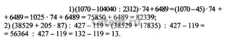
решите 1374 и 1373 плиз

Приложения:

Ответы

Ответ дал: Джилька
0
Готово надеюсь правильно.И пожалуйста...........................................................
Приложения:
Ответ дал: Джилька
0
Нет
Ответ дал: Natellka
0
помоему да ну я не знаю
Ответ дал: Natellka
0
а что?
Ответ дал: Джилька
0
Нет просто я хотела узнать какой учебник просто у меня такой же как у вас в 5 классе был а это сканер
Ответ дал: Natellka
0
ясно
Вас заинтересует