• Предмет: Физика
  • Автор: Аноним
  • Вопрос задан 2 года назад

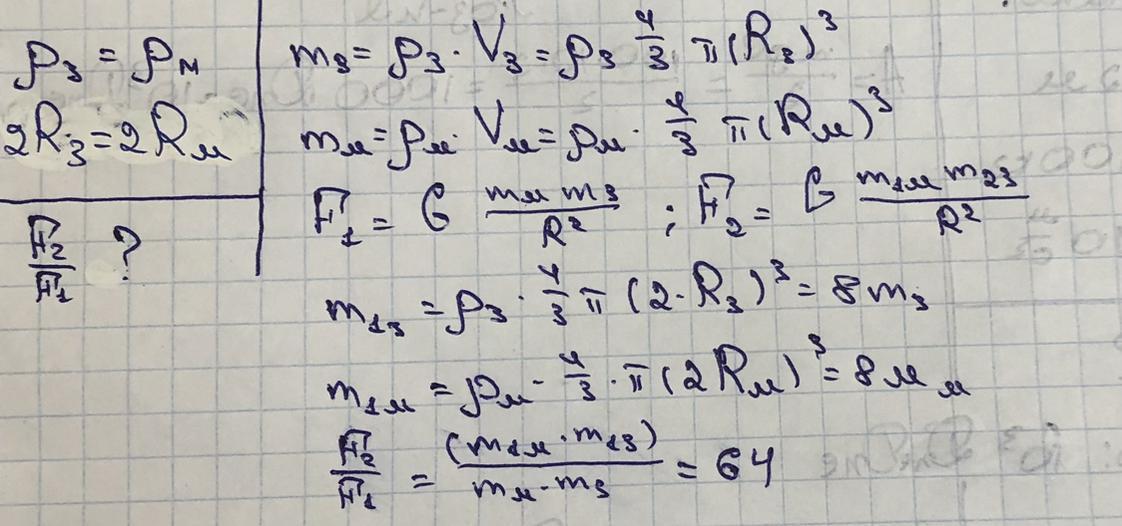
У скільки разів зросте взаємне притягання Землі та Місяця, якщо їхні радіуси збільшаться вдвічі, а густини не зміняться?
1. у 32 рази
2. у 16 разів
3. у 18 разів
4. у 64 рази

Ответы

Ответ дал: agrabar6
1
Відповідь розписана на фото
Приложения:
Вас заинтересует