Ответы
Ответ дал:
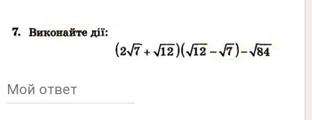
1
Ответ:
если тебе нужно расписать пример, то напиши я распишу
Приложения:

Аноним:
треба розписати
Вас заинтересует
1 год назад
1 год назад
1 год назад
3 года назад
3 года назад
8 лет назад
8 лет назад