Ответы
Ответ дал:
1
Ответ:
Пошаговое объяснение:
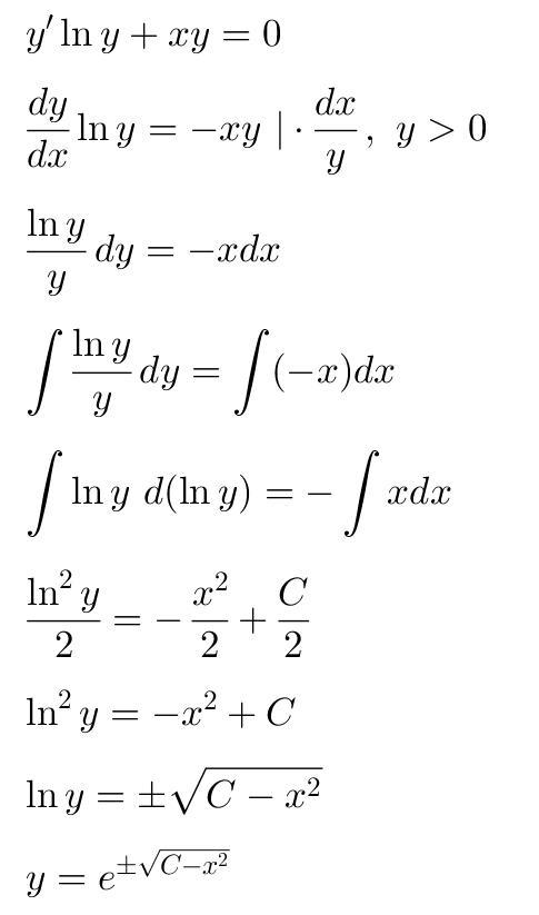
Дифференциальное уравнение с разделяющимися переменными:
Приложения:

Alexandr130398:
делаешь им бесплатно, а они еще оценку в 1 звезду ставят(
Вас заинтересует
1 год назад
1 год назад
1 год назад
3 года назад
3 года назад
8 лет назад
8 лет назад