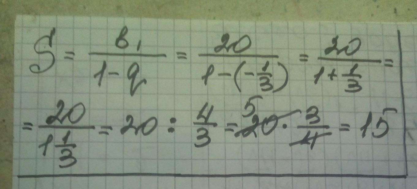
Знайти суму нескінченно спадної геометричної прогресії перший член якої дорівнює 20 , а знаменник = -1/3
Ответы
Ответ дал:
1
Ответ:
решение смотри на фотографии
Приложения:

Вас заинтересует
1 год назад
1 год назад
1 год назад
3 года назад
3 года назад
8 лет назад